QS-21芹菜糖(QS-21 api)
一、产品定位
核心特性
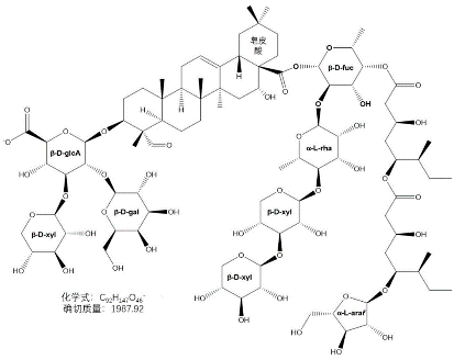
QS-21 芹菜糖(芹菜糖变体,1988)是从南美皂皮树(Quillaja Saponaria Molina)树皮中提取的天然三萜皂苷,是QS-21主要活性成分之一,属于QS-21皂苷家族的木糖化学型异构体,其C28位糖链末端为芹菜糖。作为新一代精准佐剂,可在诱导强效Th1/Th2混合免疫应答的同时,进一步优化免疫原性与安全性的平衡。
QS-21 芹菜糖化学结构式
技术突破
l原料创新:建立树皮分级标准(厚度≥3mm,QS-21含量≥2.0%),批次筛选合格率>95%。
l工艺升级:采用高纯度原料,通过反相层析,纯度提升至≥90%,内毒素控制≤5 EU/mg。
l国产替代:突破南美树皮原料进口依赖,降低原料成本。
二、技术参数
项目 | 说明 | 检测方法 |
产品名称 | QS-21芹菜糖(QS-21 api) | / |
货号 | GC07103 | / |
来源 | 南美皂皮树树皮提取 | / |
纯度 | ≥90%(HPLC面积归一化法) | 《中国药典》2025版 |
溶血率 | 10μg/mL 不溶血 | 《中国药典》2025版 |
内毒素控制 | ≤5 EU/mg | 凝胶法 |
包装规格 | 5mg/瓶、10mg/瓶、50mg/瓶(可定制) | 冻干粉剂型可选 |
有效期 | 2年(2-8℃保存) | 加速稳定性试验数据 |

三、支持服务
1、申报支持:
l提供GLP毒理报告(大鼠急毒、局部刺激性试验)。
l协助完成中国、欧盟、美国等地的佐剂注册资料(CTD模块3)。
2、定制开发:
l开发QS-21芹菜糖/QS-7复方佐剂(比例可调)。
l提供与脂质体、胆固醇的共制剂技术支持。
四、联系我们
成都济沧生物科技有限公司
地址:成都温江区成都海峡两岸科技产业开发园海发路670号1栋2楼
电话:028-62546609 | 官方微信:18620731235
邮箱:GC@jicangbio.com