QS-7 1862
一、产品定位
核心特性
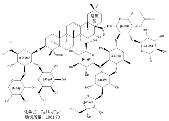
QS-7(1862)是从南美皂皮树(Quillaja saponaria Molina)树皮中提取的高纯度水溶性皂苷,具有通过皂皮酸的C28位处的D‑岩藻糖的4‑位连接的乙酰基基团的三萜糖苷,其单同位素分子量(m/z)为1862的化学型QS‑7种类,并与QS-21形成免疫调节协同效应,可诱导可控的Th1型免疫应答。其溶血性较传统皂苷降低80%,安全性及稳定性显著提升。
QS-7-1862化学结构式
技术突破
l原料创新:建立树皮分级标准(厚度≥3mm,QS-7-1862含量≥1.0%),批次筛选合格率>90%。
l工艺升级:采用高纯度原料,通过层析纯化技术,纯度提升至≥90%,内毒素控制≤5 EU/mg。
l国产替代:突破南美树皮原料进口依赖,成本较进口产品降低70%。
二、技术参数
项目 | 说明 | 检测方法 |
产品名称 | QS-7 1862 佐剂 | / |
货号 | GC07106 | / |
来源 | 南美皂皮树树皮提取 | / |
纯度 | ≥90%(HPLC面积归一化法) | 《中国药典》2025版 |
溶血率 | 2.5μg/mL 不溶血 | 《中国药典》2025版 |
内毒素控制 | ≤5 EU/mg | 凝胶法 |
包装规格 | 5mg/瓶、10mg/瓶、50mg/瓶(可定制) | 冻干粉剂型可选 |
有效期 | 2年(2-8℃保存) | 加速稳定性试验数据 |

三、支持服务
1、申报支持:
l提供GLP毒理报告(大鼠急毒、局部刺激性试验)。
l协助完成中国、欧盟、美国等地的佐剂注册资料(CTD模块3)。
2、定制开发:
l开发QS-7-1862/QS-21复方佐剂(比例可调)。
l提供与脂质体、胆固醇的共制剂技术支持。
四、联系我们
成都济沧生物科技有限公司
地址:成都温江区成都海峡两岸科技产业开发园海发路670号1栋2楼
电话:028-62546609 | 官方微信:18620731235
邮箱:GC@jicangbio.com